Предмет: Алгебра,
автор: rukavis84
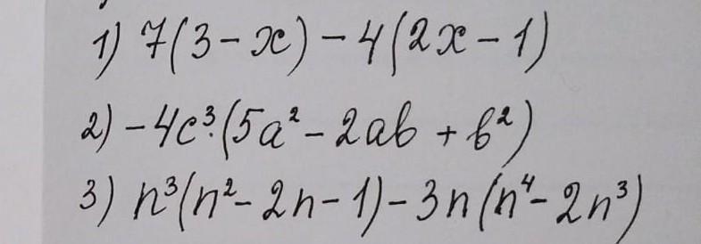
Упростите выражение.
Приложения:
Ответы
Автор ответа:
0
Ответ:
. . . . . . . . . . ... .. ... . . . . . . . .
Объяснение:
Приложения:
Похожие вопросы
Предмет: Русский язык,
автор: Аноним
Предмет: Русский язык,
автор: valeriayarkowa
Предмет: Русский язык,
автор: Аноним
Предмет: Информатика,
автор: marisha529