Предмет: Математика,
автор: sofiia5092
помогите найти Х пожалуйста
Приложения:
Ответы
Автор ответа:
1
Извините за помарки, думаю понятно) (когда дробь=дробь с иксом и просто числитель первой умножаем на знаменатель второй, а после равно знаменатель первой на числитель второй, крест на крест
vas579:
Картинка не подгрузилась, напишу сюда решение
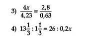
4x/4,23=2,8:0,63
4x*0,63=2,8*4,23
2,52x=11,844
x=4,7
13,1/3 : 1,1/3 = 26:0,2x
40/3 : 4/3 = 26/0,2x
10/1 = 26/0,2x
0,2x*10=26
2x=26
x=13
4x*0,63=2,8*4,23
2,52x=11,844
x=4,7
13,1/3 : 1,1/3 = 26:0,2x
40/3 : 4/3 = 26/0,2x
10/1 = 26/0,2x
0,2x*10=26
2x=26
x=13
Похожие вопросы
Предмет: Русский язык,
автор: Лотуоышьл9
Предмет: Русский язык,
автор: Максим12345678999
Предмет: Русский язык,
автор: ппап1
Предмет: Математика,
автор: rafaelvalitovich450
Предмет: Русский язык,
автор: dkkdjddjh