Предмет: Математика,
автор: s080208
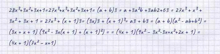
Разложите на множители 28х^3+3x^2+3x + 1
Ответы
Автор ответа:
1
Ответ:
Пошаговое объяснение:
Приложения:
s080208:
Так если из 1 вынести х, то там будет 1/х?
Автор ответа:
2
Ответ:
Смотри вложение
........
Приложения:
Похожие вопросы
Предмет: Английский язык,
автор: yuliaderechina
Предмет: Окружающий мир,
автор: paserb
Предмет: Русский язык,
автор: Polinadw
Предмет: Русский язык,
автор: адемасахи
Предмет: Геометрия,
автор: Physic777