Предмет: Алгебра,
автор: nochenpro
Помогите, пожалуйста, с алгеброй
Нужно доказать тождество
Приложения:
Ответы
Автор ответа:
1
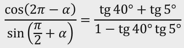
cos(2п-a)/sin(п/2+a)=tg40-tg5/1-tg40*tg5
1.cos(2п-а)=cos(a)
2.sin(п/2+a) =cos(a)
3.tg40-tg5/1-tg40*tg5=tg(40+5)=tg45
И того:
cos(a)/cos(a)=tg45
tg45=1
1=1 - Верно
nochenpro:
в условии во второй части tg 40 + tg 5 , а не минус
ошибся
сорри
Похожие вопросы
Предмет: Русский язык,
автор: PHARAOH22869369
Предмет: Русский язык,
автор: ианя2
Предмет: Английский язык,
автор: Аноним
Предмет: Физика,
автор: jasmina260818
Предмет: Химия,
автор: hagibatop9