Предмет: Алгебра,
автор: zekaa8681
помогите решить задачу.
Приложения:
Ответы
Автор ответа:
1
Ответ:
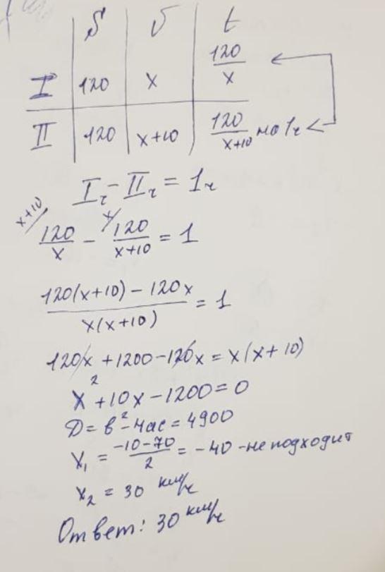
1) 30 км/ч - первоначальная скорость поезда
2) 30 руб - стоит 1 кот
Объяснение:
1. Расстояние между городами 120 км поезд проходит за определенное время. Если же он увеличит скорость на 10 км/ч, то потратит на весь путь на 1ч меньше. Какова первоначальная скорость поезда?
Пусть первоначальная скорость поезда х, тогда при увеличении будет х+10.
время= путь: время
Пусть = 120 км
Заполним таблицу.
Время до увел.скорости - время после увеличения = 1ч
2. На 120 рублей решили купить либо только плюшевых мишек, либо только плюшевых котов. Мишка дороже кота на 10 рублей, и потому на эти деньги можно купить на 1 кота больше, чем мишек. сколько стоит 1 кот?
Пусть стоимость кота х рублей, тогда стоимость мишки х+10
Всего у нас 120р
Приложения:
Похожие вопросы
Предмет: Українська література,
автор: ЕдИнОрОжКа46
Предмет: Русский язык,
автор: серго22821
Предмет: Другие предметы,
автор: alvert
Предмет: Математика,
автор: bbuzov19
Предмет: Русский язык,
автор: ruzannaarutyunpemwrw