Предмет: Алгебра,
автор: gulia22092001
Помогите пожалуйста, найти интегралы
Приложения:
Ответы
Автор ответа:
1
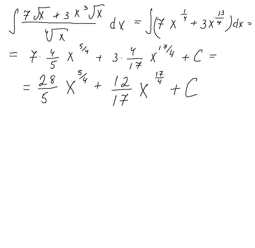
Ответ см. в прикреплённом файле
Приложения:
gulia22092001:
Что за файл ?
Прикреплённое к ответу изображение
Автор ответа:
1
Ответ:
Объяснение:
!!!!!!!!!!!!!!!!!!!!!!!!!!!!
Приложения:
Похожие вопросы
Предмет: Русский язык,
автор: clavik2005
Предмет: Русский язык,
автор: гасан19
Предмет: Русский язык,
автор: Nascafe
Предмет: Алгебра,
автор: jas67
Предмет: Биология,
автор: thekuzmina337