Предмет: Алгебра,
автор: land320
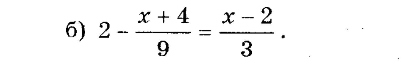
Помогите пожалуйста решить домножением
Приложения:
Ответы
Автор ответа:
0
Объяснение:
если я правильно поняла, то вот
ошибка,
-4х=-20
х=5
Приложения:
Автор ответа:
0
Відповідь:ххх=5
Пояснення:
Приложения:
Похожие вопросы
Предмет: Русский язык,
автор: маша1837
Предмет: Русский язык,
автор: alyaleleka
Предмет: Другие предметы,
автор: arsenev2015
Предмет: Химия,
автор: 1r1shka
Предмет: Алгебра,
автор: angelinavasilets