Предмет: Алгебра,
автор: Аноним
помогите пожалуйста!!! нужно решение
Приложения:
Ответы
Автор ответа:
0
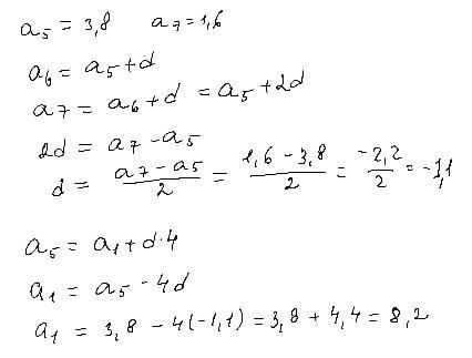
Ответ:
8,2
Объяснение:
Приложения:
Похожие вопросы
Предмет: Русский язык,
автор: Аноним
Предмет: Английский язык,
автор: vjcrdf77
Предмет: Английский язык,
автор: суслик202
Предмет: Алгебра,
автор: mashenka0504
Предмет: Химия,
автор: isuprunov20peu402