Предмет: Математика,
автор: Аноним
срочно помогите !!!!
Приложения:
Ответы
Автор ответа:
0
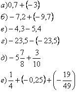
Ответ:
Пошаговое объяснение:,,,,,,,,,,,,
Приложения:
Похожие вопросы
Предмет: Русский язык,
автор: zAnushka
Предмет: Українська мова,
автор: Толія
Предмет: Русский язык,
автор: Аноним
Предмет: Математика,
автор: yeraly45
Предмет: Русский язык,
автор: tvoyYdarnik1012