Предмет: Математика,
автор: iuovtcl
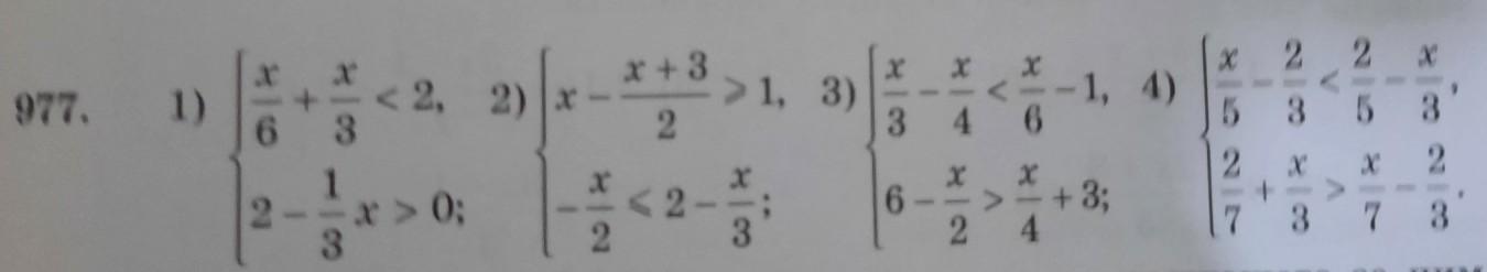
СРОЧНО, 6 КЛАСС МАТЕМАТИКА
Приложения:
Ответы
Автор ответа:
0
Ответ:
а можна ще раз бо розмито
Пошаговое объяснение:
а можна ще раз бо розмито
Пошаговое объяснение:
iuovtcl:
аутист
ДАЙТЕ НОРМ ОТВЕТ
ненавижу тебя
зачем ты это сделал
ты просто забрал баллы, скот
я сделал
иди отвечай умник тупой
полуфабрикат гориллы с двумя лишними хромосомами
Автор ответа:
1
Пошаговое объяснение:
.............................
Приложения:
Похожие вопросы
Предмет: Русский язык,
автор: КсенияКит1
Предмет: Русский язык,
автор: АлиМусаев
Предмет: Русский язык,
автор: Valerya01082000
Предмет: Английский язык,
автор: twfwavoboiwd