Предмет: Алгебра,
автор: heLenkA123
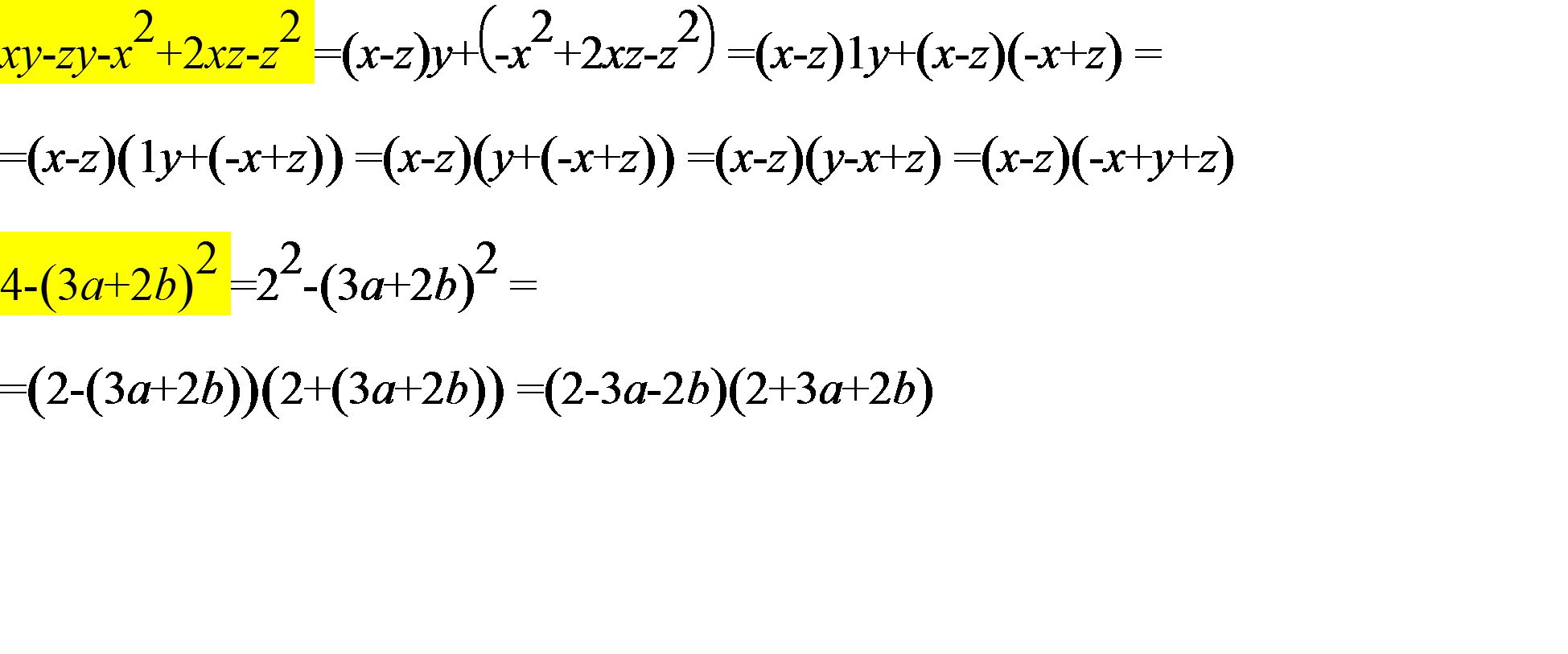
разложите на множители
1)xy-zy-x^2+2xz-z^2
2)4-(3а+2в)^2
Ответы
Автор ответа:
0
файл
==========================
Приложения:
Похожие вопросы
Предмет: Алгебра,
автор: polaz2007
Предмет: Физика,
автор: DearQ
Предмет: Русский язык,
автор: Leviafan46655
Предмет: Математика,
автор: 9292629550
Предмет: Алгебра,
автор: Nik998