Предмет: Математика,
автор: TezAdventure
решите пожалуйста на листочке и прикрепите, спасибо
Приложения:
Ответы
Автор ответа:
2
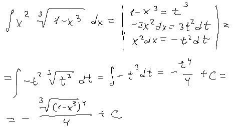
Ответ:
Пошаговое объяснение:
Приложения:
Похожие вопросы
Предмет: Русский язык,
автор: FakeVampire
Предмет: Русский язык,
автор: ronariokavalli
Предмет: Другие предметы,
автор: Аноним
Предмет: География,
автор: aliguseing
Предмет: Биология,
автор: makcalina005