Предмет: Математика,
автор: ChillBruh
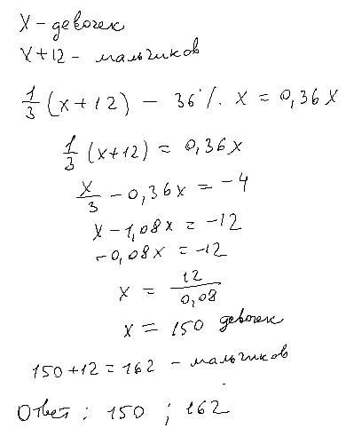
мальчиков в школе учится на 12 человек больше, чем девочек, а треть мальчиков равна 36% девочек. запишите число учащихся в школе девочек и мальчиков в указанном порядке
Ответы
Автор ответа:
0
Ответ:
Пошаговое объяснение:
Приложения:
Похожие вопросы
Предмет: Қазақ тiлi,
автор: Помощник707
Предмет: Русский язык,
автор: 12038
Предмет: Английский язык,
автор: arina338
Предмет: Українська мова,
автор: samaung92358
Предмет: Физика,
автор: sophiabrms