Предмет: Математика,
автор: Demanaize
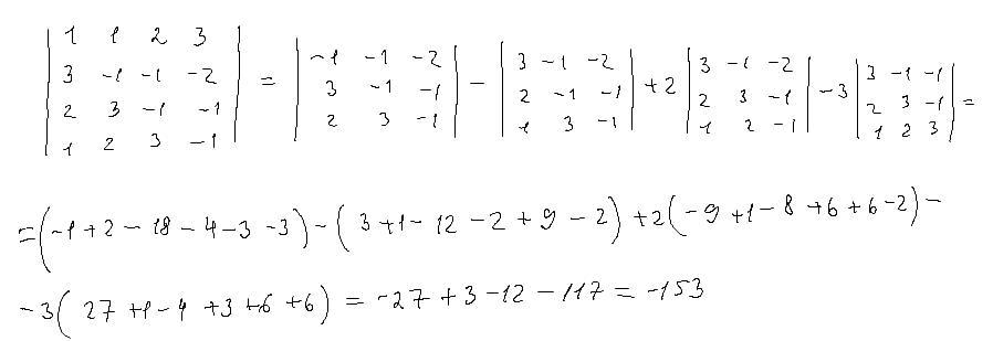
Вычислить определитель: (с подробным решением)
Заранее спасибо!!!
Приложения:
Ответы
Автор ответа:
1
Ответ:
Пошаговое объяснение:
Приложения:
Demanaize:
спасибо вам!
Похожие вопросы
Предмет: Английский язык,
автор: arina338
Предмет: Русский язык,
автор: Ledinusha
Предмет: Русский язык,
автор: адиль2362383874
Предмет: Геометрия,
автор: liza3886
Предмет: Информатика,
автор: Аноним