Предмет: Алгебра,
автор: nanamixx256
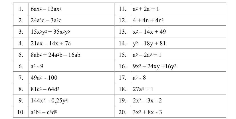
помогите с карточкой
Приложения:
Ответы
Автор ответа:
1
Вот ответы на карточку
Приложения:
Похожие вопросы
Предмет: Русский язык,
автор: rabika2
Предмет: Русский язык,
автор: aniaa12345
Предмет: Русский язык,
автор: gerasinam
Предмет: История,
автор: kristinavolnova63820