Предмет: Алгебра, автор: Аноним

Приведи дроби к наименьшему общему знаменателю и выберите правильный ответ​

Приложения:

Ответы

Автор ответа: Warlock1
1

Ответ:

вариант 2

Объяснение:

Приложения:

Warlock1: 70ху/21x³y²
Warlock1: умножаешь числитель и знаменатель на 7ху
Автор ответа: xacku2020
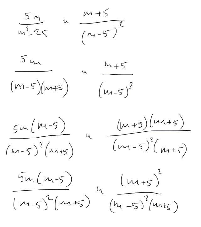
1

1) m²-25=(m-5)(m+5)

2)(m-5)²=(m-5)(m-5)

НОЗ  (m-5)(m-5)(m+5)= (m-5)²(m-5)

Верный ответ 2

Похожие вопросы
Предмет: Русский язык, автор: ели4
Предмет: Русский язык, автор: dinara23aznabae
Вскоре я увидел, как из-за крайних дворов хутора вышел на дорогу мужчина. Он вел за руку маленького мальчика, судя по росту – лет пяти-шести, не больше. Они устало брели по направлению к переправе, но, поравнявшись с машиной, повернули ко мне. Высокий, сутуловатый мужчина, подойдя вплотную, сказал приглушенным баском:

– Здорово, браток!

– Здравствуй. – Я пожал протянутую мне большую, черствую руку.

Мужчина наклонился к мальчику, сказал:

– Поздоровайся с дядей, сынок. Он, видать, такой же шофер, как и твой папанька. Только мы с тобой на грузовой ездили, а он вот эту маленькую машину гоняет.Ну что ж пока отдохнем спешить мне некуда.А я иду мимо гляжу свой брат шофер загорает .Дай думаю зайду перекурим вместе .Одному то и курить и помирать тошно .А ты богато живешь папирски куришь .Подмочил их стало быть?Ну брат табак мочёный что конь лечёный никуда не годится.Давайка лучше моего крепачка закурим.
Я хотел было спросить куда он идёт с ребёнком какая нужда его гонит в такую распутицу но он опередил меня вопросом
-Ты что же всю войну за баранкой?
-Почти всю
-На фронте?
-Да
-Ну и мне там пришлось браток хлебнуть горюшка по ноздри и выше
Он положил на колени большие тёмные руки.Сгорбился .Я сбоку выглянул на него и мне стало что то не по себе
Озаглавьте текст
Выпишите три общеупотребительных слов
Випишите профессионализм подберите к нему синонимы из общеупотребитльной лексики
Выпишите жаргонизм подберите к нему синоним из общеупотребительной лексике