Предмет: Алгебра,
автор: hamer007
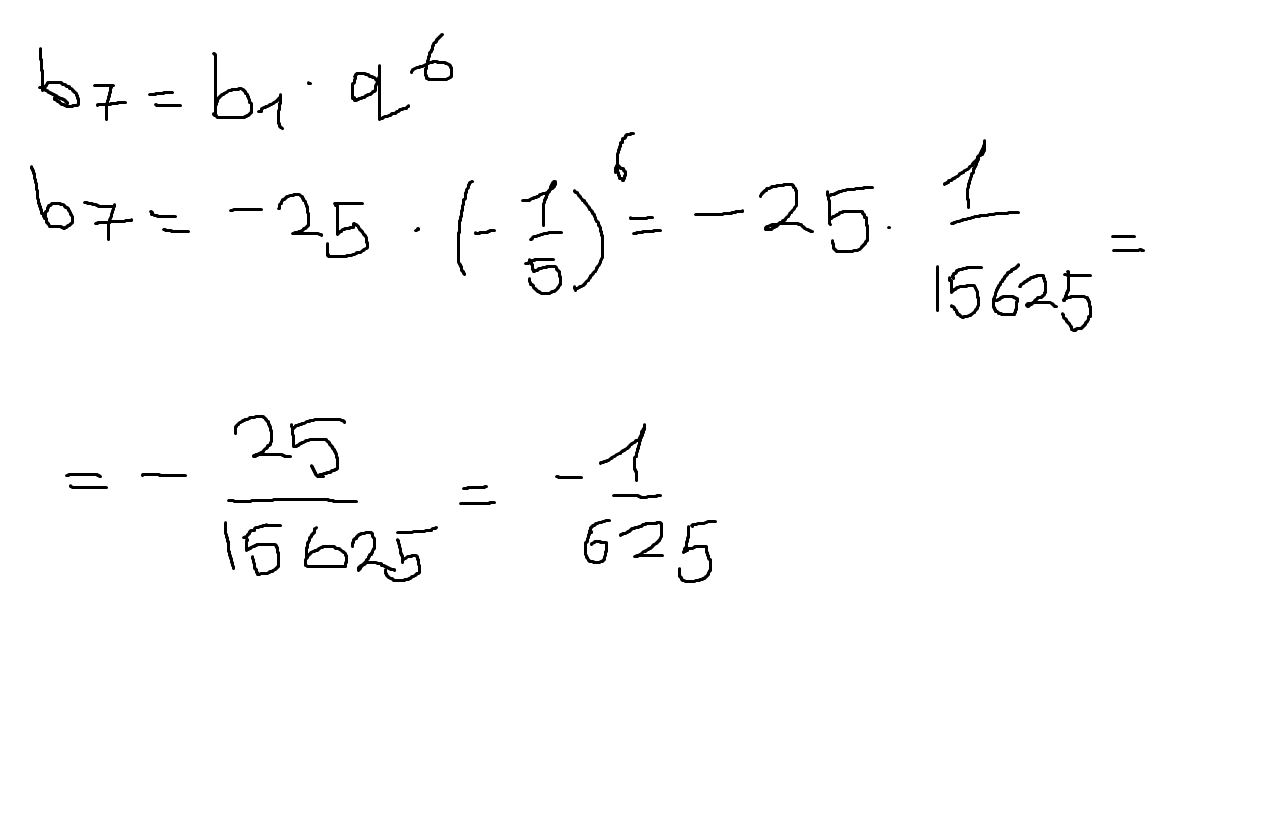
Найдите седьмой член геометрической прогрессии, если B1 = - 25, и q = - 1/5
Ответы
Автор ответа:
0
b7=b1*q^6 = -25*(-1/5)^6=-25*1/15625=-25/15625=-1/625
Автор ответа:
0
вроде все верно должно быть
Приложения:
Похожие вопросы
Предмет: Химия,
автор: maryhawewe
Предмет: Физика,
автор: fira55632
Предмет: Английский язык,
автор: Natata591
Предмет: Математика,
автор: Аноним
Предмет: Математика,
автор: tanasana