Предмет: Математика,
автор: dmitriylions568
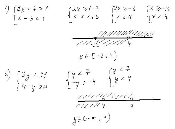
Помогите пожалуйста номер 969 1 и 2 пример.
Приложения:
Ответы
Автор ответа:
1
Ответ:
Пошаговое объяснение:
Приложения:
dmitriylions568:
от души в душу душевно
Похожие вопросы
Предмет: Русский язык,
автор: Аноним
Предмет: Английский язык,
автор: shishanchikovaalinka
Предмет: Русский язык,
автор: Аноним
Предмет: Алгебра,
автор: Serg1273
Предмет: Математика,
автор: daniil2007ch