Предмет: Алгебра, автор: ssliwwk

Вычисли сумму первых восьми членов арифметической прогрессии аN если даны a1= -4,9 и d=4
S₈

Ответы

Автор ответа: noname1149
1

Ответ:

дано: (аn)-ариф.прогрессия

а1=-4,9

d=4

Найти:S8

Решение:

1.а8=а1+7d=-4,9+7×4=23,1

2.S8=(a1+an)n/2

S8=-4,9+23,1×8÷2=72,8

Ответ:72,8

Автор ответа: parus77
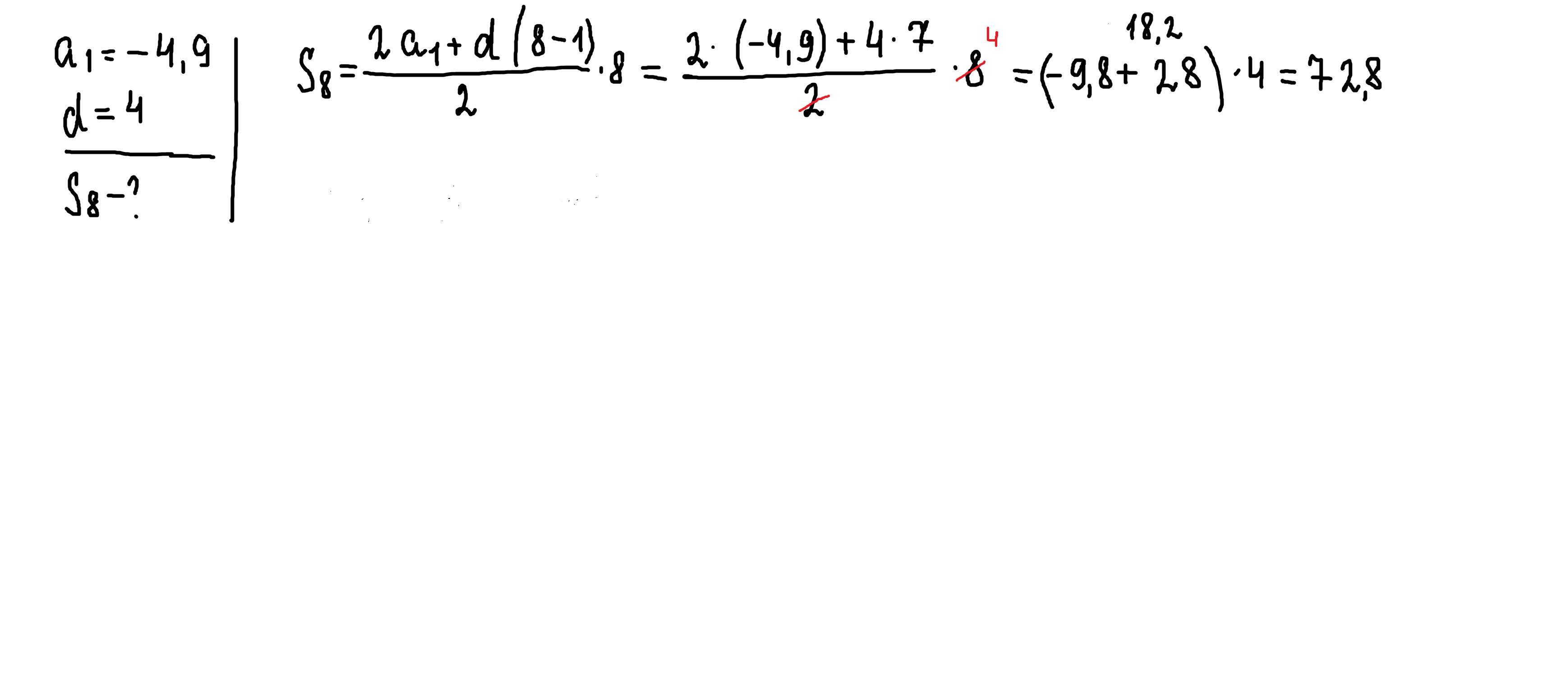
1

Ответ:

S₈=72,8

Объяснение:

решение внизу

Приложения:
Похожие вопросы
Предмет: Русский язык, автор: Аноним
Предмет: Английский язык, автор: nikita230320031
Предмет: Русский язык, автор: 22222893
Предмет: Математика, автор: arina2431