Предмет: Алгебра,
автор: awmaratova
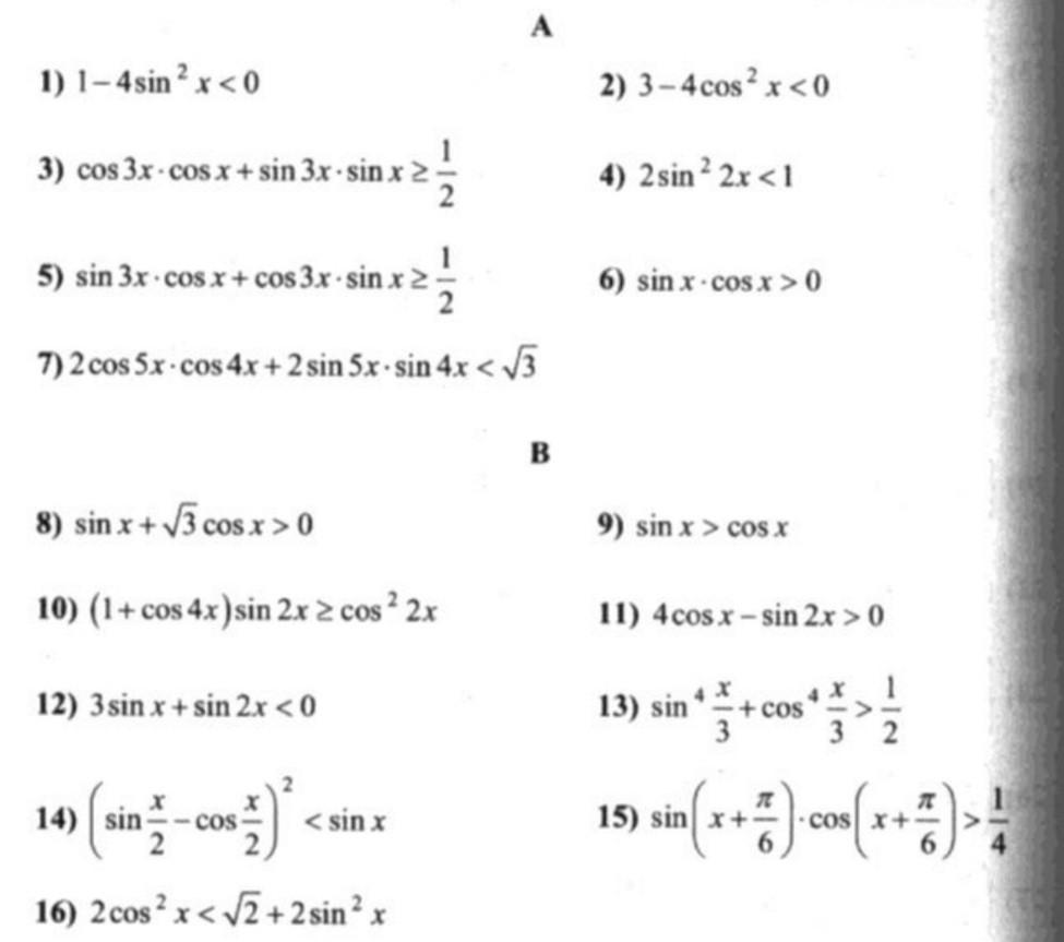
помогите решить, срочно
Приложения:
Ответы
Автор ответа:
1
Ответ:
Объяснение:
!!!!!!!!!!!!!!!!!!!!!!!!!
Приложения:
awmaratova:
Благодарю, добрый человек
Похожие вопросы
Предмет: Русский язык,
автор: nata4443
Предмет: Русский язык,
автор: vivavor666
Предмет: Українська література,
автор: allaosipenko
Предмет: Алгебра,
автор: 79384119651