Предмет: Математика,
автор: princeeeee
срочно даю 20 балов пж оч надо...
Приложения:
princeeeee:
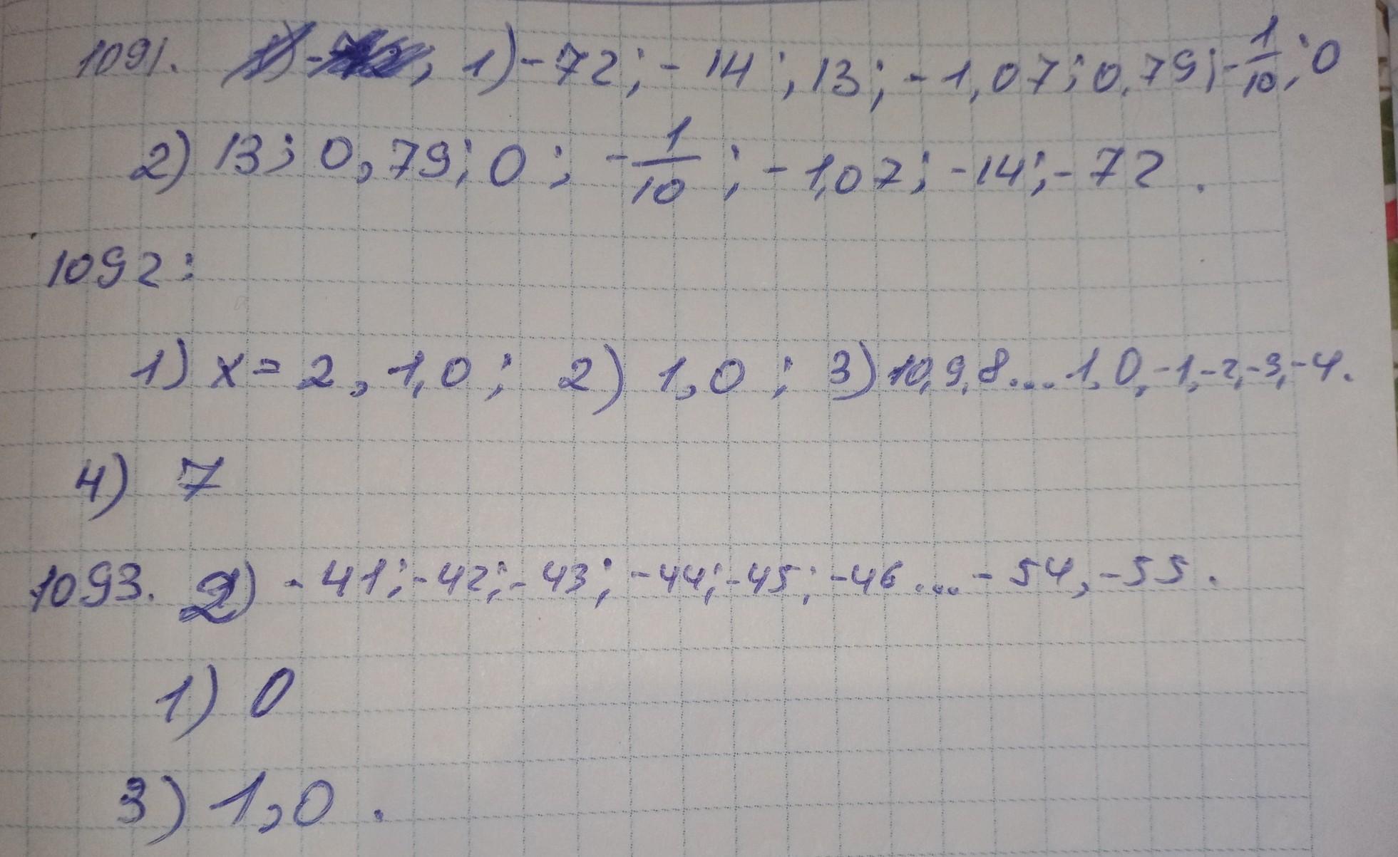
номер 1091 и 1093
Ответы
Автор ответа:
0
Ответ:
Ответ на фото, вроде так
Приложения:
Похожие вопросы
Предмет: Қазақ тiлi,
автор: 546465
Предмет: Русский язык,
автор: Katushella2004
Предмет: Английский язык,
автор: CrossWay
Предмет: Математика,
автор: nastyapasechni
Предмет: Математика,
автор: Deffox