Предмет: Геометрия,
автор: samirakhont
Определите центр и радиус окружности заданной уравнением 7 задание пж
Приложения:
Ответы
Автор ответа:
0
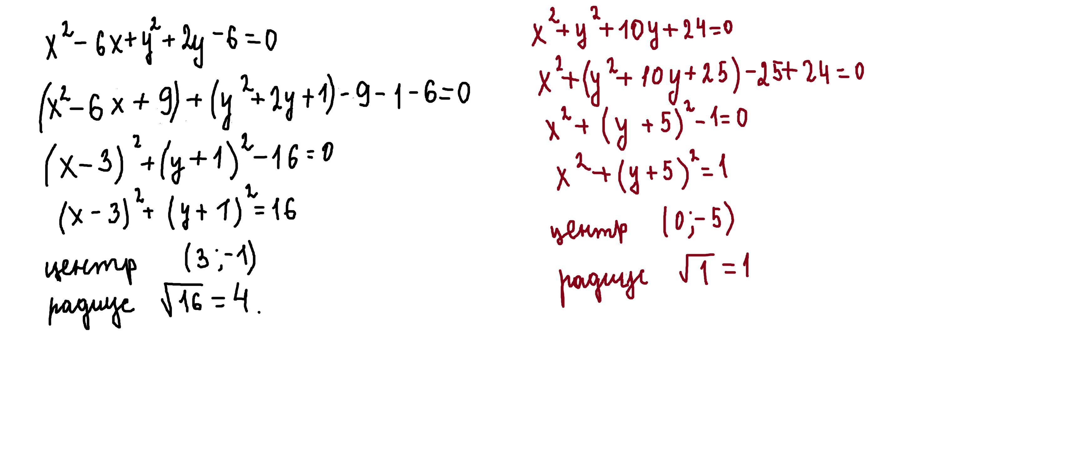
Ответ:
Объяснение:
1) центр (3;-1) радиус 4
2) центр (0;-5) радиус 1
Приложения:
samirakhont:
спасибо большое
а вы можете ответить еще на один вопрос пж
если у вас будет время пж срочно надо
я уже вопрос задала
Похожие вопросы
Предмет: Українська мова,
автор: dlskdlmcjlkskg
Предмет: Қазақ тiлi,
автор: PATIMEYKER228
Предмет: Қазақ тiлi,
автор: dedMassiv
Предмет: История,
автор: NoNamePlayer
Предмет: Русский язык,
автор: marselberdib142