Предмет: Алгебра,
автор: anarubec2008
СРОЧНО!!!
Розкладіть многочлен на множники:
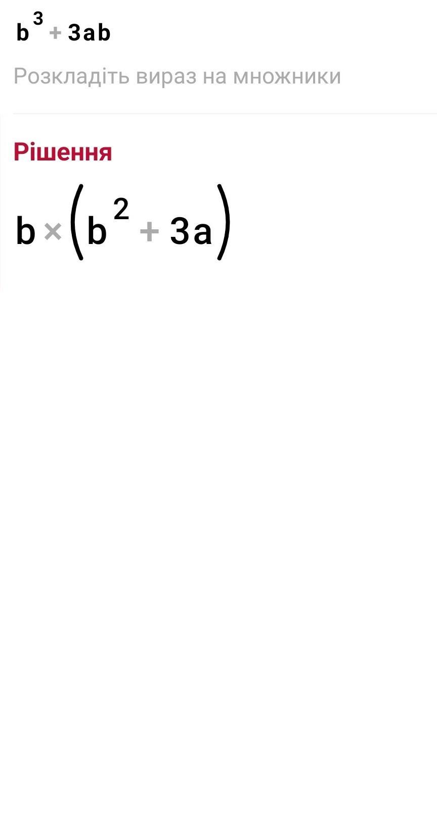
b³+3ab
2(b-1)+a(b-1)
4p²-9
(x-6)²-4
Ответы
Автор ответа:
0
Ответ:
..,.........................
Приложения:
Похожие вопросы
Предмет: Русский язык,
автор: маша1824
Предмет: Русский язык,
автор: кшалалал
Предмет: Английский язык,
автор: sik2
Предмет: Математика,
автор: GIOGI228
Предмет: Математика,
автор: amina0707200880