Предмет: Алгебра,
автор: LiMon4ki
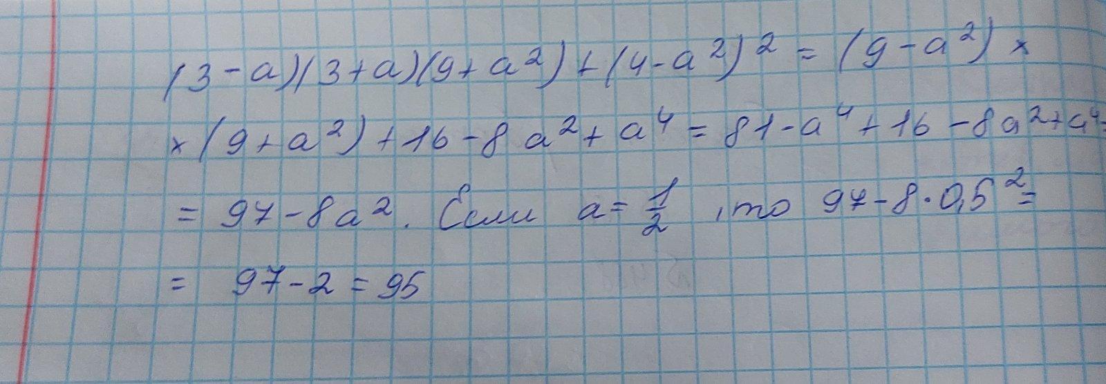
Преобразования выражений с помощью формул сокращенного умножения. Урок 3 Упрости выражение (3 – a)(3 + a)(9 + a2) + (4 – a2)2 и найди его значение при a =1/2
Приложения:
Ответы
Автор ответа:
5
Ответ:
Объяснение:
Лови ответ
Приложения:
Похожие вопросы
Предмет: Другие предметы,
автор: УразбековаКарина
Предмет: Русский язык,
автор: drozdnatali
Предмет: Русский язык,
автор: маян1
Предмет: Биология,
автор: 122nsk221
Предмет: География,
автор: arturkatka