Предмет: Алгебра,
автор: adeptssiao
Формулы краткого умножения.
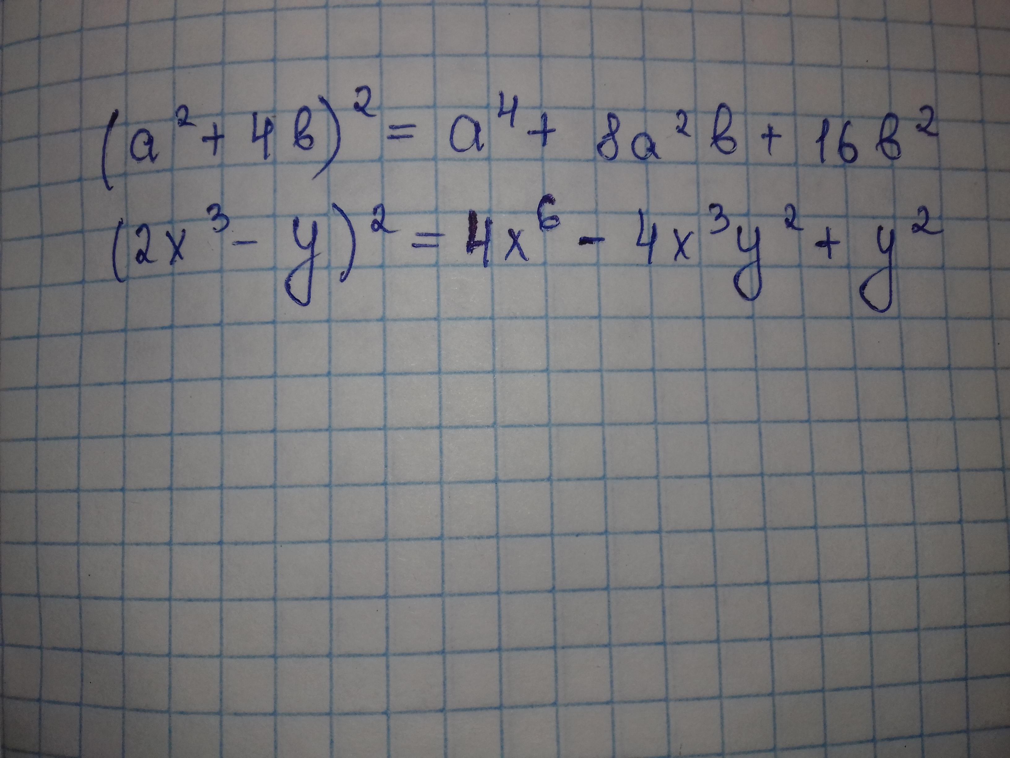
1. преобразуйте в многочлен:
а) (а^2+4b)^2; б) (2х^3-у)^2;
adeptssiao:
blob:https://web.whatsapp.com/3c9eae48-b382-4af8-afa4-c072148e6dfd
Ответы
Автор ответа:
0
Ответ:
Смотри фото ниже.
Объяснение:
Приложения:
Похожие вопросы
Предмет: Английский язык,
автор: вика2362
Предмет: Английский язык,
автор: Sivandhy354
Предмет: Русский язык,
автор: нурбек123
Предмет: Алгебра,
автор: RuslanTime