Предмет: Алгебра,
автор: grisahotimko
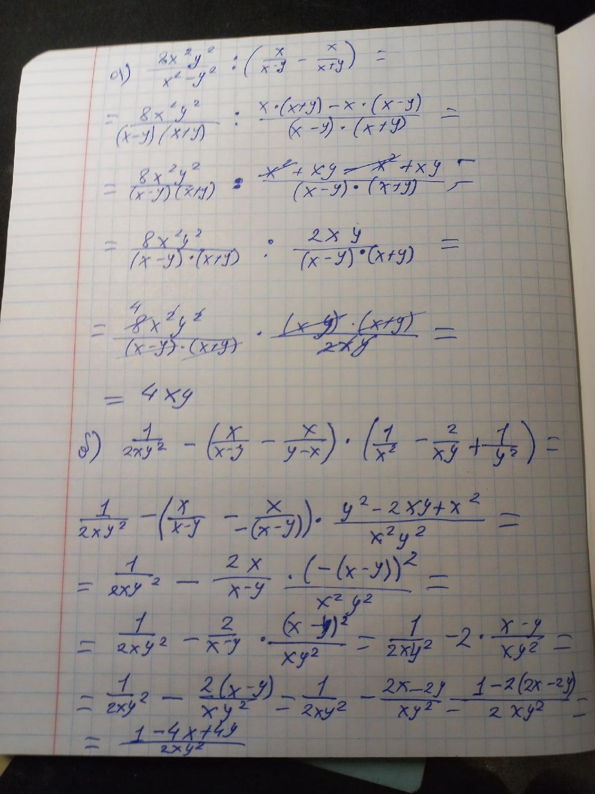
Помогите решить 2 примера под 3 номер. И пожалуйста под действиям
Приложения:
Ответы
Автор ответа:
1
Надеюсь, все понятно. Постарался все расписать !
Приложения:
grisahotimko:
Благослови вас , большое вам спасибо
Похожие вопросы
Предмет: Русский язык,
автор: амина387
Предмет: Другие предметы,
автор: SinonSAO
Предмет: Русский язык,
автор: Lyulya1
Предмет: Русский язык,
автор: Arina12131415