Предмет: Физика,
автор: viktoriagordienko280
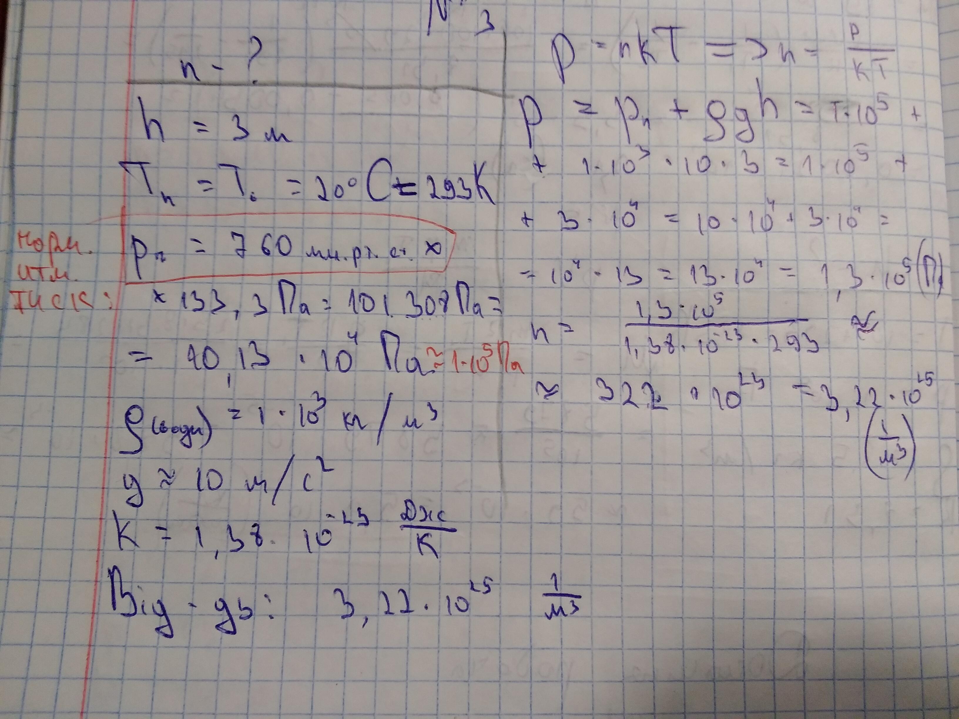
Пробірку, перевернуту догори дном, занурили у воду на деяку глибину. Яка концентрація повітря у пробірцi на глибині 3 м? Температура води та повітря однакові й дорівнюють 20 °C. атмосферний тиск - 760 мм рт. ст.?
Ответы
Автор ответа:
2
Ответ:
На фотографії...
Объяснение:
Приложения:
Похожие вопросы
Предмет: Қазақ тiлi,
автор: 777351
Предмет: Русский язык,
автор: Dims123123
Предмет: Русский язык,
автор: Аминкаходж
Предмет: Математика,
автор: bagir52
Предмет: Физика,
автор: asya00741