Предмет: Математика,
автор: ekransmerti93
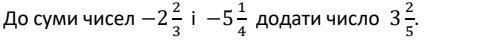
помогите пожалуйста!!
Приложения:
Ответы
Автор ответа:
0
Ответ:5•2:3=3
Пошаговое объяснение:
Автор ответа:
1
Ответ:будет -4 31/60
Пошаговое объяснение:
Похожие вопросы
Предмет: Русский язык,
автор: Кити35
Предмет: Английский язык,
автор: Аноним
Предмет: Окружающий мир,
автор: Аноним
Предмет: Математика,
автор: ашоттрубошот
Предмет: Литература,
автор: vahitova22052005