Предмет: Алгебра,
автор: petrosavara
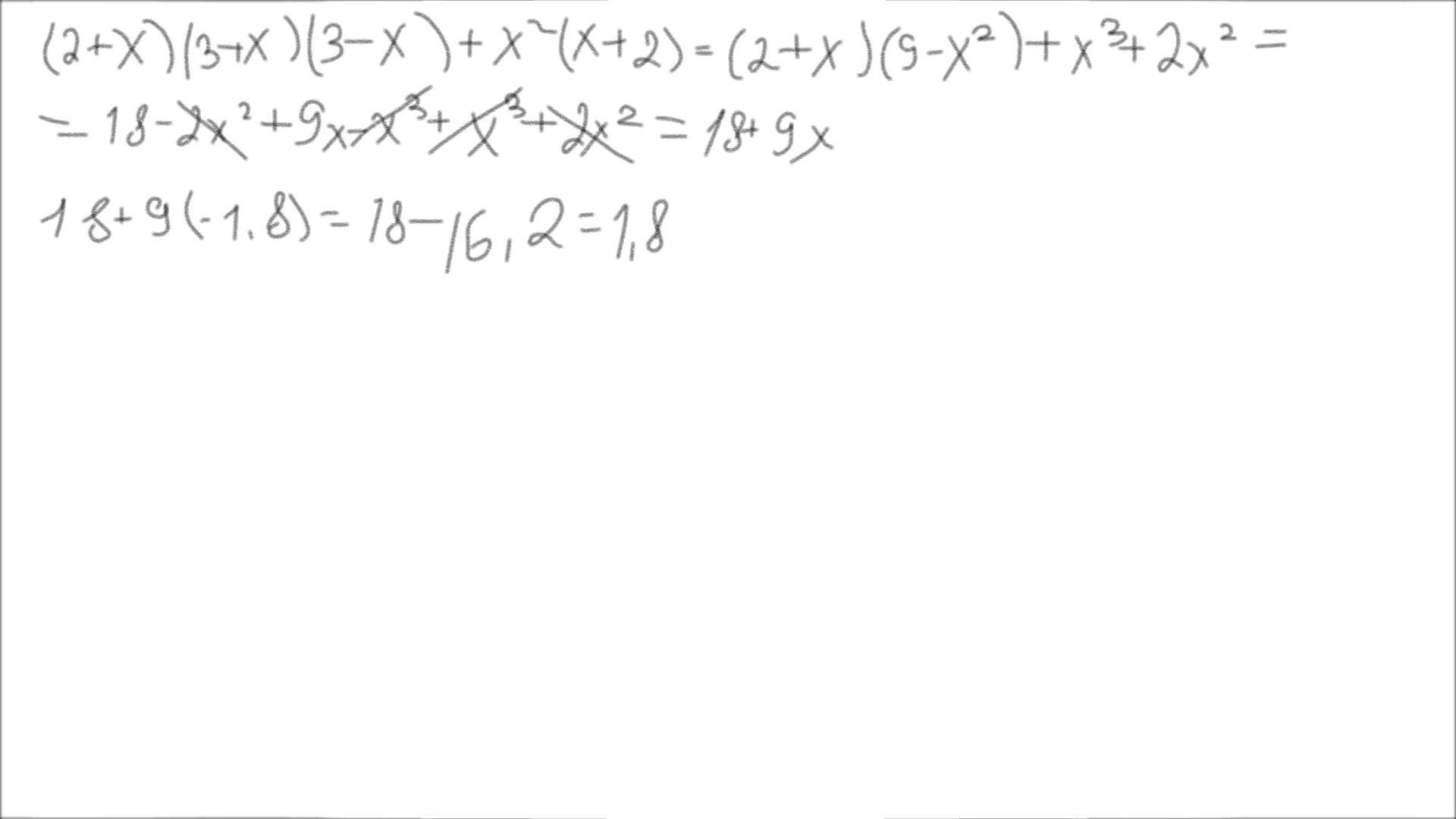
Знайдмть значения выращу

при x= -1,8
Ответы
Автор ответа:
0
Ответ:
Объяснение:
1.8
Приложения:
yvyvyyyvyyvyvyv:
помоги задание зделать
Похожие вопросы
Предмет: Другие предметы,
автор: nikitosik2016
Предмет: Русский язык,
автор: Souldak
Предмет: Русский язык,
автор: Liluska1
Предмет: Английский язык,
автор: maks228rus
Предмет: Математика,
автор: svetochkadrugina