Предмет: Алгебра,
автор: Аноним
прикрепил файл прошу решите
Приложения:
Ответы
Автор ответа:
0
Ответ:
Объяснение:
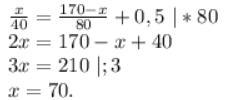
30 мин = 0,5 часа. Скорость автобуса равна 80:2=40 (км/ч).
Пусть длина пути, которую проехал Витя до места встречи
равна х км.
Следовательно, длина пути, которую проехал Паша до места встречи равна (170-х) км.
Ответ: 70 км.
Приложения:
Похожие вопросы
Предмет: Окружающий мир,
автор: Аноним
Предмет: Қазақ тiлi,
автор: Rasik31
Предмет: Английский язык,
автор: НастяLove111111
Предмет: История,
автор: zxcvbnm1234960305
Предмет: Английский язык,
автор: polina25102003