Предмет: Математика, автор: Аноним

пж помогите срочно дам лучшый ответ с полным решением ​

Приложения:

Ответы

Автор ответа: ItsPotatoWarrior
1

Ответ:

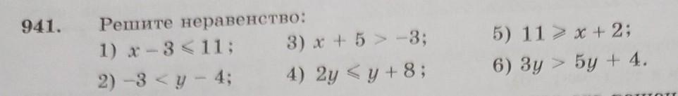
1) x-3 ≤ 11

x ≤ 14

2) -3 < y - 4

-y - 3 < -4

-y < -1

y > 1

3) x + 5 > -3

x > -8

4) 2y ≤ y + 8

2y - y ≤ 8

y ≤ 8

5) 11 ≥ x + 2

9 ≥ x

x ≤ 9

6) 3y > 5y + 4

-2y > 4 | :(-2)

y < -2

Похожие вопросы
Предмет: Английский язык, автор: камилла184
Предмет: Русский язык, автор: Лиана081
Предмет: Английский язык, автор: 2013dronov2013
Предмет: История, автор: PolliSharik