Предмет: Математика,
автор: alenamusorina0
Помогите пожалуйста
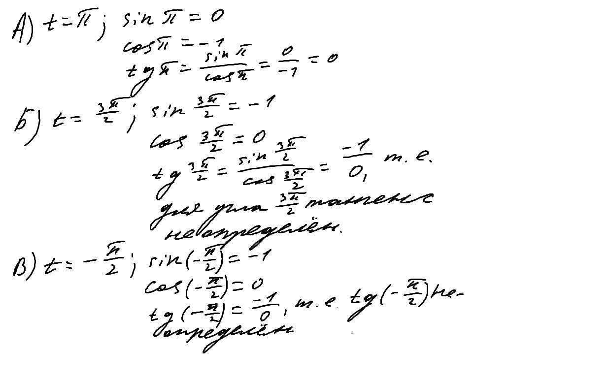
Найти sinT, cosT и tgT если
А) t=пи
Б) t= 3пи/2
В) t= - пи/2
Г) t= 11пи/4
Ответы
Автор ответа:
1
Ответ: Решение и ответ приведены в прикреплённых файлах.
Пошаговое объяснение:
Приложения:
alenamusorina0:
А можно формулу по которой считать синус и косинус, для дальнейших заданий?
Похожие вопросы
Предмет: Русский язык,
автор: MashiroShiina
Предмет: Русский язык,
автор: farrahovakarina
Предмет: Окружающий мир,
автор: Аноним
Предмет: Психология,
автор: bimuvigrs
Предмет: Химия,
автор: faya101