Предмет: Математика,
автор: artem508658
решите по.................
Приложения:
Ответы
Автор ответа:
1
Пошаговое объяснение:
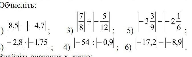
1. 3,8
2. 1,05
3. 31/24
4. 60
5. 7/6
6. 8,3
Похожие вопросы
Предмет: Русский язык,
автор: vens277
Предмет: Английский язык,
автор: elena1214
Предмет: Английский язык,
автор: Аноним
Предмет: География,
автор: lucy30