Предмет: Математика,
автор: alonagovtva095
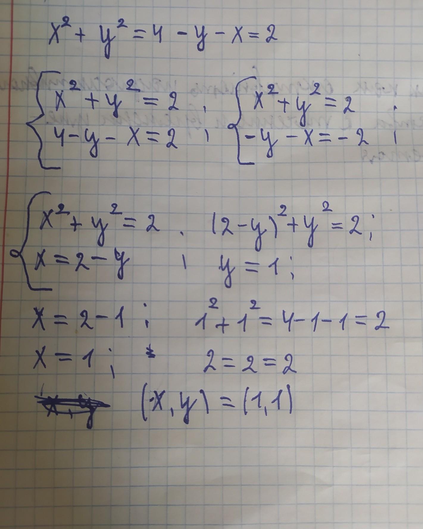
Укажіть пару чисел ,яка є розв'язком системи рівняння x²+y²=4 -y-x=2
Ответы
Автор ответа:
0
Ответ:
...............................................
Ответ во вложении
...............................................
Приложения:
Похожие вопросы
Предмет: Українська мова,
автор: MiszaBiceps
Предмет: Английский язык,
автор: Аноним
Предмет: Қазақ тiлi,
автор: юмоили
Предмет: Математика,
автор: daeon
Предмет: Английский язык,
автор: Aiilissa