Предмет: Алгебра,
автор: valeriamelnikova2009
СРОЧНООООООООО!!!!!!! ДАЮ 50 БАЛОВ, НЕЗНАЮ ИЛИ У МЕНЯ ОДНОЙ ТАК Я КЛАДУ 100 БАЛОВ А ОНО НА ПОЛОВИНУ УМЕНШАЕТ ТАК ЧТО ВЫ ПОНЯЛИ....ПОМОГИТЕЕЕЕЕ
Приложения:
Ответы
Автор ответа:
2
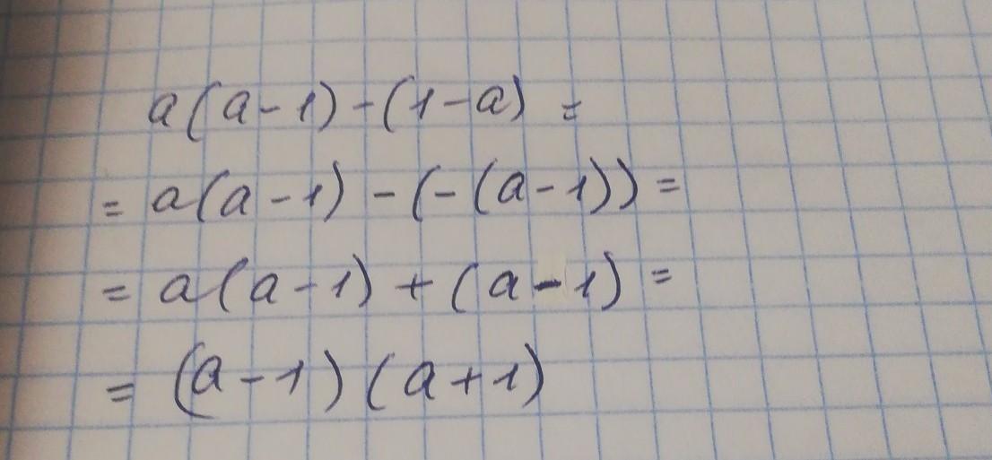
Ответ:
Смотри решение на фото....
Приложения:
valeriamelnikova2009:
Спасибо большое, без тебя бы не справилась
Автор ответа:
3
Объяснение:
решение и пояснение смотри на фотографии
Приложения:
Похожие вопросы
Предмет: Русский язык,
автор: Славаburdik
Предмет: Русский язык,
автор: hristi81
Предмет: Русский язык,
автор: Margarita6753
Предмет: Математика,
автор: jeniainna