Предмет: Алгебра,
автор: denversvoboda
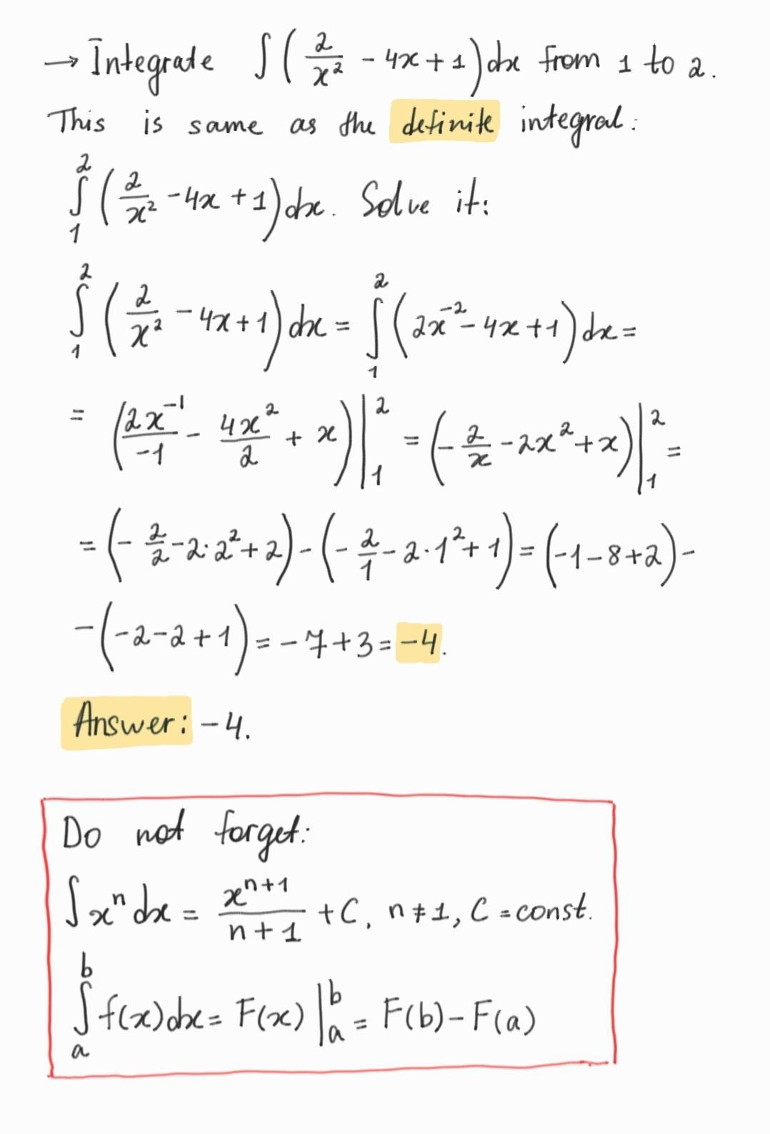
integrate (2/(x ^ 2) - 4x + 1) dx from 1 to 2
Ответы
Автор ответа:
4
~~~~~~~~~~~~~~~~~~~~
Приложения:
NamJooonnn29:
Здравствуйте вы не могли бы мне помочь с алгеброй пожалуйста
Похожие вопросы
Предмет: Русский язык,
автор: танюшка192
Предмет: Английский язык,
автор: Тамерлан242
Предмет: Русский язык,
автор: Ishha123
Предмет: Физика,
автор: danill95