Предмет: Алгебра,
автор: ananasovaagirl
СРОЧНО У МЕНЯ СКОРО ДЕДЛАЙН!! ПОЛНОЕ РЕШЕНИЕ
Приложения:
Ответы
Автор ответа:
0
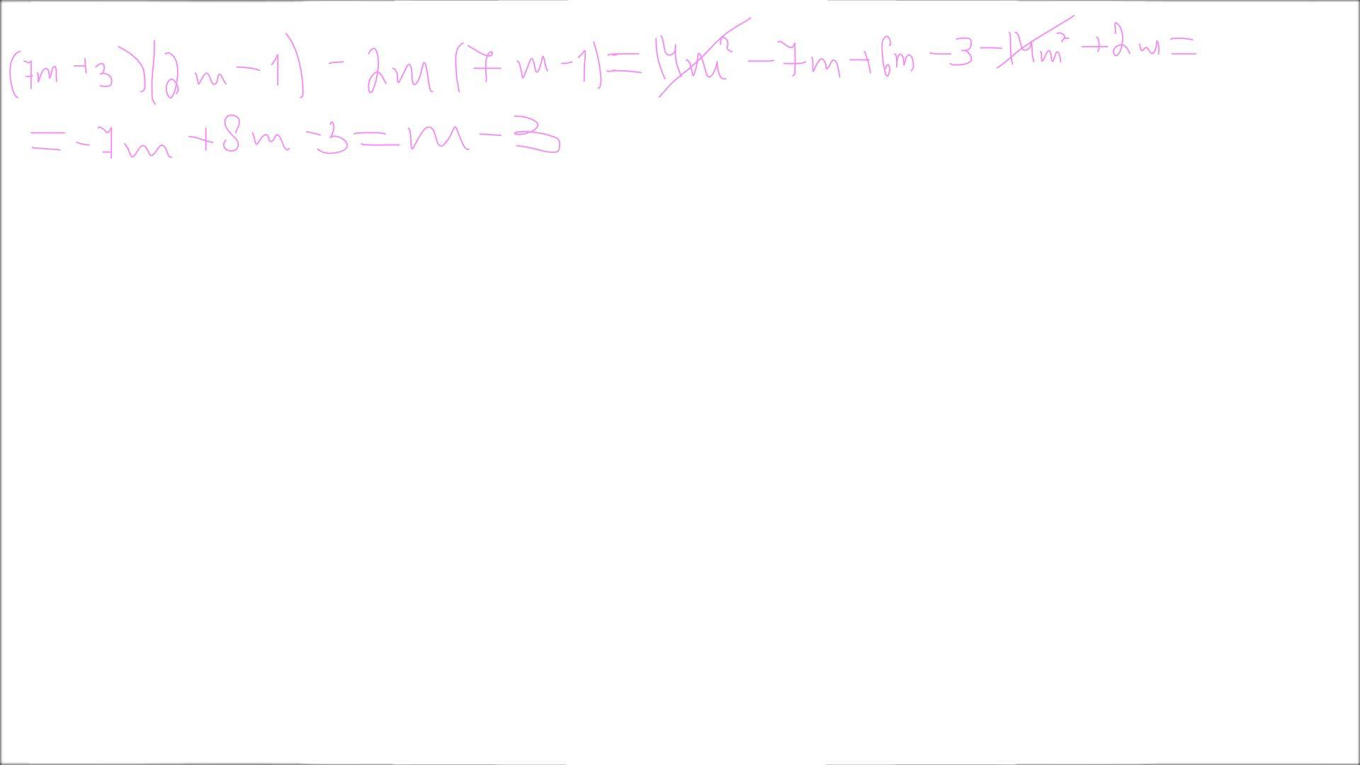
Ответ: ...... .
Объяснение:
Приложения:
Похожие вопросы
Предмет: Русский язык,
автор: АннаНиколаевна1
Предмет: Английский язык,
автор: zhusovalenaXthtg
Предмет: Русский язык,
автор: adhereto425
Предмет: Физика,
автор: milanakosheleva2005
Предмет: Литература,
автор: spoty678