Предмет: Математика,
автор: masakornijcuk658
помогите пожалуйста
Приложения:
Ответы
Автор ответа:
1
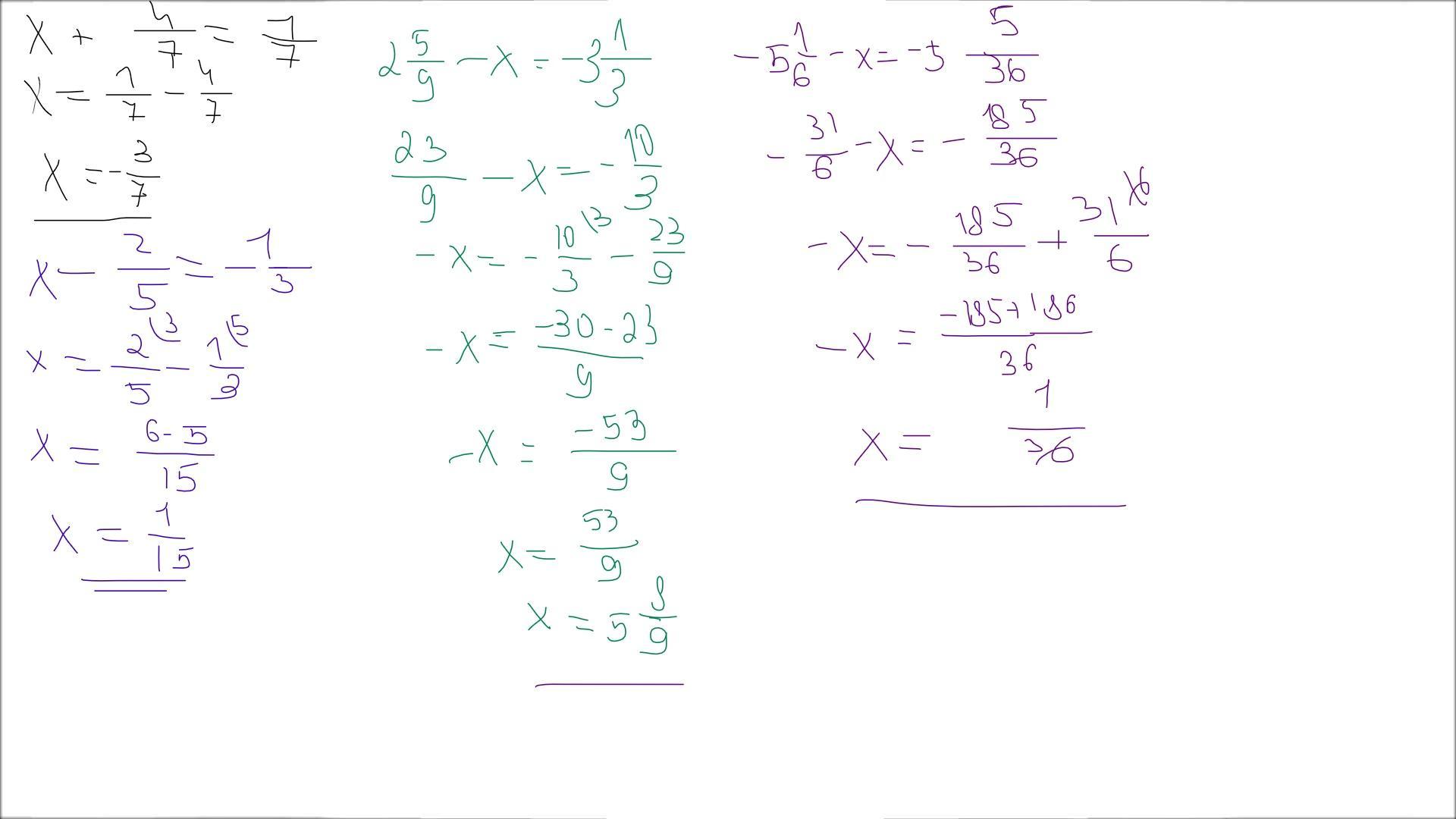
Ответ:
Пошаговое объяснение:
Приложения:
Похожие вопросы
Предмет: Русский язык,
автор: Adina241
Предмет: Русский язык,
автор: алана15
Предмет: Русский язык,
автор: ALEKS77216
Предмет: Математика,
автор: Ghuo6333
Предмет: Русский язык,
автор: sofiabulyntsev