Предмет: Алгебра,
автор: ksksofudksodj
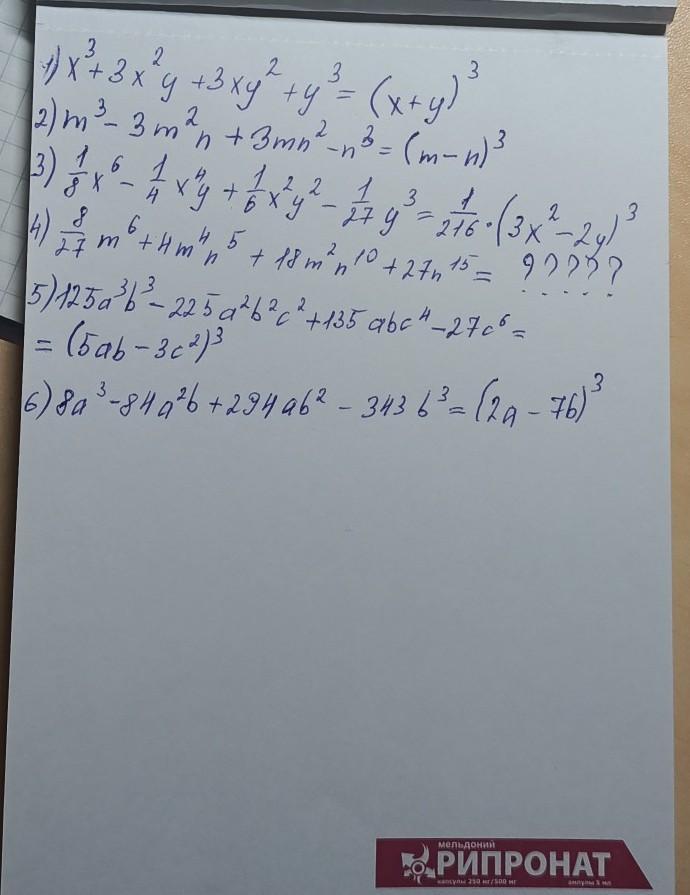
помогите пожалуйста дам 50 баллов
Приложения:
Ответы
Автор ответа:
1
Объяснение:
прошу прощения, что не сделал номер 4, просто я в 7 классе, и не знаю как это решить
Приложения:
ksksofudksodj:
ничего спасибо)
можешь сделать лучшим ответом?
можешь сделать лучшим ответом?
там пока нету что бы сделать лучший ответ
если не сложно можешь потом это сделать?
спасибо за понимание
да могу
все отметил как лучший ответ
Похожие вопросы
Предмет: Русский язык,
автор: cona7
Предмет: Другие предметы,
автор: aleksbat1984
Предмет: Русский язык,
автор: SashaKyzia
Предмет: Литература,
автор: alekseyev2003
Предмет: Русский язык,
автор: medzhidovai78