Предмет: Математика,
автор: Аноним
пж помогитееееееееееееееее
Приложения:
Ответы
Автор ответа:
0
Ответ: Решение и ответ приведены в прикреплённых файлах.
Пошаговое объяснение:
Приложения:
ivanivanov200200200:
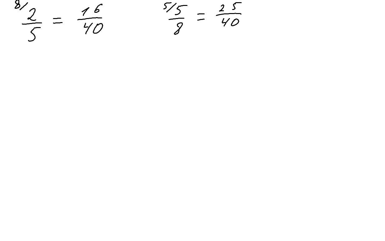
Общим знаменателем двух дробей точно будет являться произведение знаменателей этих дробей. А нашем случае в роли общего знаменателя выступает число 40 (8 умножить на 5=40). Нам необходимо привести обе дроби к общему знаменателю. Для этого нам необходимо умножить знаменатель (число под дробной чертой) первой дроби умножить на 8, а знаменатель второй - на 5.
Однако мы не можем оставить числители этих дробей при этом нетронутыми, ибо, если мы с ними ничего не сделаем, изменив при этом знаменатели, то у нас получатся дроби, отличные от тех, которые были даны по условию.
Числитель первой дроби умножим на число 8, на которое мы умножали её знаменатель. Числитель второй дроби умножим на число 5, на которое мы умножали ЕЁ знаменатель. В итоге мы получаем две дроби с одинаковыми знаменателями, однако эти дроби представляют из себя то же самое, что и дроби, данные нам по условию.
Похожие вопросы
Предмет: Русский язык,
автор: mamidovazarina
Предмет: Русский язык,
автор: Adrioner
Предмет: Русский язык,
автор: Adrioner
Предмет: История,
автор: svylchu14
Предмет: Литература,
автор: kataitan