Предмет: Математика, автор: damelyaantipova

помогитеи пожалуйста 3/5+0,25 и 2/5+1 1/3​


arafatd984: Нужно превратить в дробь десятичную потом сложить или наоборот?
damelyaantipova: да, так

Ответы

Автор ответа: interesting1human
1

Ответ:

3/5 приводим к знаменателю 10

3/5 (*2 = 6/10 = 0,6

0,6+0,25=0,85

2/5 и 4/3 приводим к знаменателю 15

2/5 (*3 = 6/15

4/3 (*5 = 20/15

6/15+20/15= 26/15


interesting1human: можно пожалуйста лучший ответ!!!
damelyaantipova: да)
arafatd984: так там 1 целое а не 11
interesting1human: Спасибо большое, damelyaantipova!
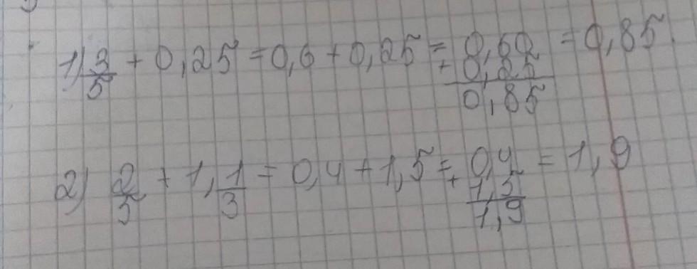
Автор ответа: arafatd984
1

Ответ:

ответ на фото , я не знаю но у 1 чела правильно только 1 а 2 нет так как у тебя 1 целое а он подумал 11, плюс он 2/5 перевёл как 6/15 но,2/5 переводится 4/10.

Приложения:

damelyaantipova: спасибо, что исправили
interesting1human: спасибо, просто не глядя ответила, сейчас исправлю. извините)))
Похожие вопросы
Предмет: Математика, автор: krutoykavkazec3