Предмет: Алгебра,
автор: hejoyan19
плиз сейчас! 30 баллов
Приложения:
Ответы
Автор ответа:
1
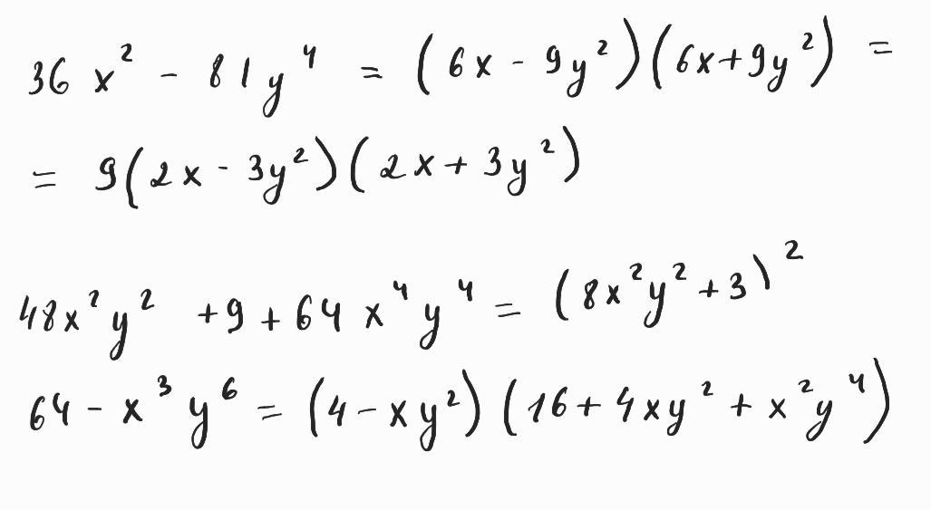
Решение представлено на фото
Приложения:
Автор ответа:
0
Ответ:
3) (4-xy²) ×(16+4xy²+x²y⁴)
Похожие вопросы
Предмет: Английский язык,
автор: cowanehak
Предмет: Английский язык,
автор: cowanehak
Предмет: Английский язык,
автор: sashka1711
Предмет: История,
автор: TheFouMinds
Предмет: Українська література,
автор: LeraMakeup