Предмет: Алгебра,
автор: pisechkazhongli
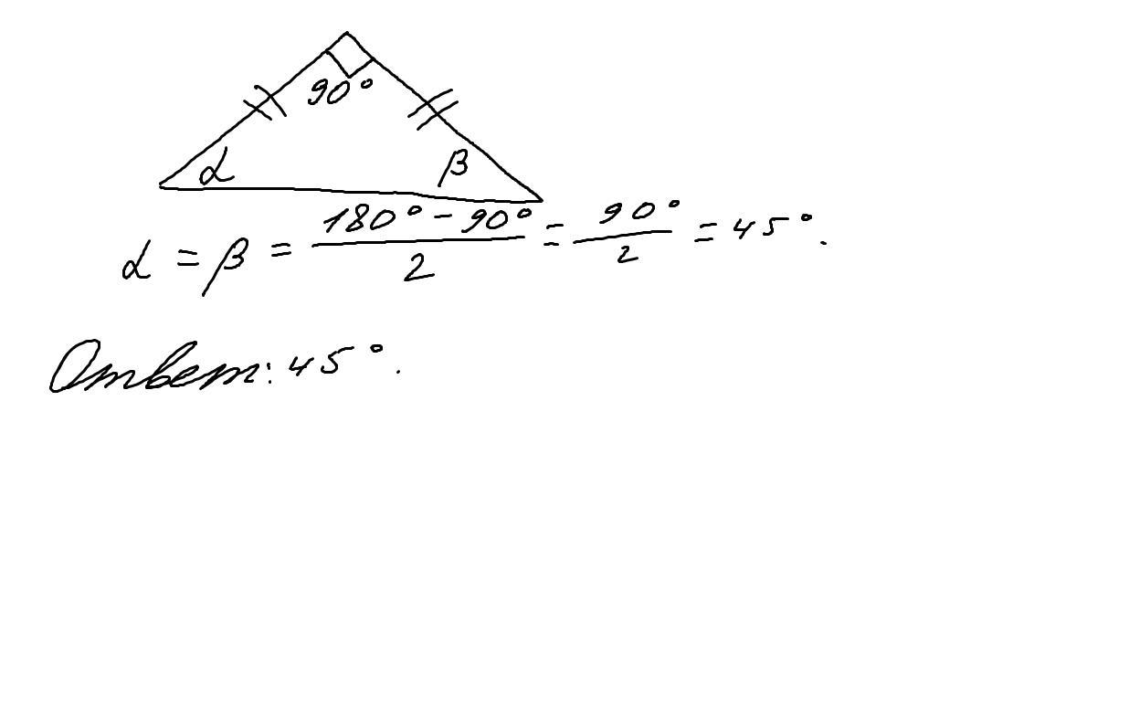
чому дорівнює градусна міра гострого кута в прямокутному трикутнику якщо він рівнобедрений
Ответы
Автор ответа:
1
Ответ: Ответ и объяснения представлены в прикреплённых файлах.
Объяснение:
Приложения:
pisechkazhongli:
спасибо!!!
Похожие вопросы
Предмет: Английский язык,
автор: djjeniadj
Предмет: Русский язык,
автор: catiks1337
Предмет: Русский язык,
автор: Sjixjehxidb
Предмет: Обществознание,
автор: rusalocka8
Предмет: Английский язык,
автор: nastay8923