Предмет: Математика,
автор: qweasdqweqweqwe
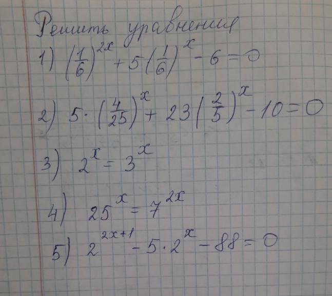
помогите решить уравнения
15 баллов
Приложения:
Ответы
Автор ответа:
1
Відповідь:
1. x=0
2. x=1
3. x=0
4. x=0
5. x=3
Покрокове пояснення:
1. фото
2. фото
3. фото
4. фото
5.фото
Приложения:
Похожие вопросы
Предмет: Русский язык,
автор: anytka1109
Предмет: Русский язык,
автор: аасс2
Предмет: Русский язык,
автор: каришика5
Предмет: История,
автор: lalachka200526
Предмет: Химия,
автор: oleghik56