Предмет: Алгебра,
автор: Аноним
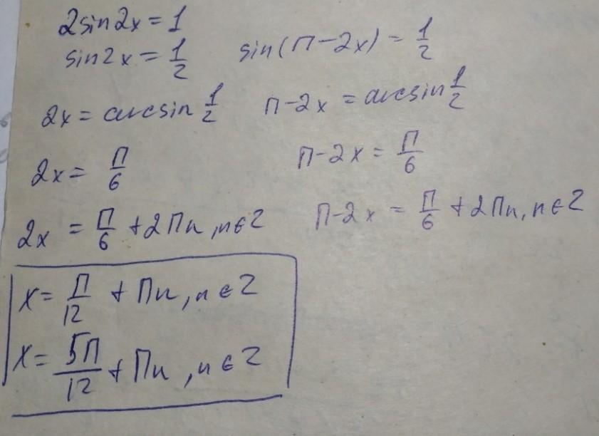
решите уравнение
2sin2x=1/2
Ответы
Автор ответа:
0
Ответ:
смотри ответ сверху понял?
Приложения:
bonty413:
надеюсь помог:))))))
сделай пожалуйста лучшим ответом
Похожие вопросы
Предмет: Русский язык,
автор: русскийки
Предмет: Қазақ тiлi,
автор: dfhfylfttkf
Предмет: Русский язык,
автор: skper
Предмет: Математика,
автор: mihel847
Предмет: Биология,
автор: Аноним