Предмет: Алгебра,
автор: Ychenik1977
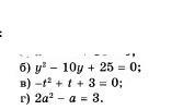
прошу вас помочь решить данное уравнение в письменном варианте
Приложения:
Ответы
Автор ответа:
1
Ответ:
Б) y=5
В) t1= ((-1-√13)/2)
t2= ((-1+√13)/2)
Г) a1= -1
a2= 1,5
Объяснение:
Б) y²-10y+25=0
D=100-4*1*25=0
y= - (-10/2)=5
В) -t²+t+3=0
D=1-4*(-1)*3=13
t1= ((-1-√13)/2)
t2=((-1+√13)/2)
Г) 2a²-a=3
2a²-a-3=0
D=1-4*2*(-3)=25
a1= ((1-5)/4) = (-4/4)= -1
a2=((1+5)/4)= (6/4)= (3/2) = 1,5
Похожие вопросы
Предмет: Английский язык,
автор: Аноним
Предмет: Русский язык,
автор: Аноним
Предмет: Английский язык,
автор: vorobeychik1
Предмет: Математика,
автор: easyeasy16