Предмет: Алгебра,
автор: facemaink
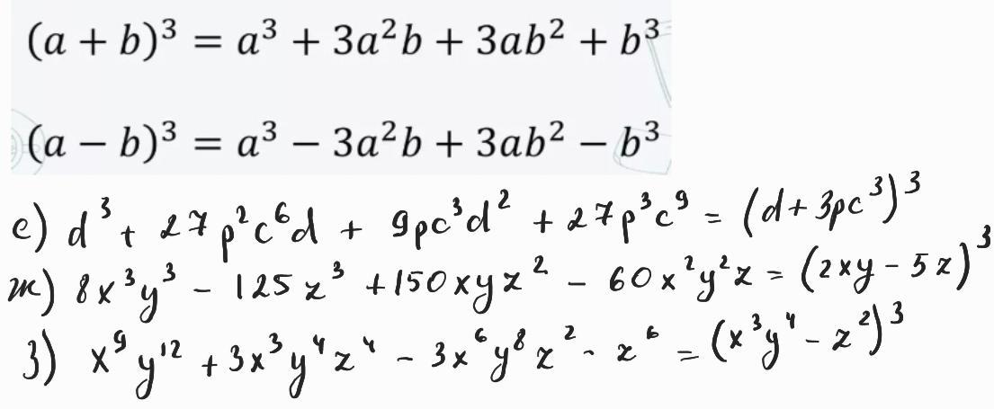
разложите множители, используя формулы куба разности и суммы :
Приложения:
Ответы
Автор ответа:
1
Все решение на фотографии
Приложения:
Похожие вопросы
Предмет: Английский язык,
автор: ipodUushkoPODUSKA
Предмет: Русский язык,
автор: alikagvanyan1973
Предмет: Русский язык,
автор: mixer239
Предмет: Алгебра,
автор: nastyabarkovskaya04
Предмет: Русский язык,
автор: uktamzonumurzakov418