Предмет: Химия,
автор: dorcenkovam
Найти массы веществ, количеством вещества а) 2 моль Na2SO3, б) 0,5 моль Al(OH)3, в) 10 моль FeSO4, г) 0,01 моль Ba3(PO4)2.
Пример: Найти массу воды количеством вещества 5 моль.
Дано: Решение
n(Н2О)=5 моль М(Н2О)= 1∙2+16=18г/моль
__________________ m = М∙n
m(Н2О) - ? m(Н2О) = 18г/моль∙5моль = 90г
Ответ: m(Н2О) = 90г
Ответы
Автор ответа:
1
Ответ:
…………………………
Объяснение:
…………………………
Приложения:
Автор ответа:
1
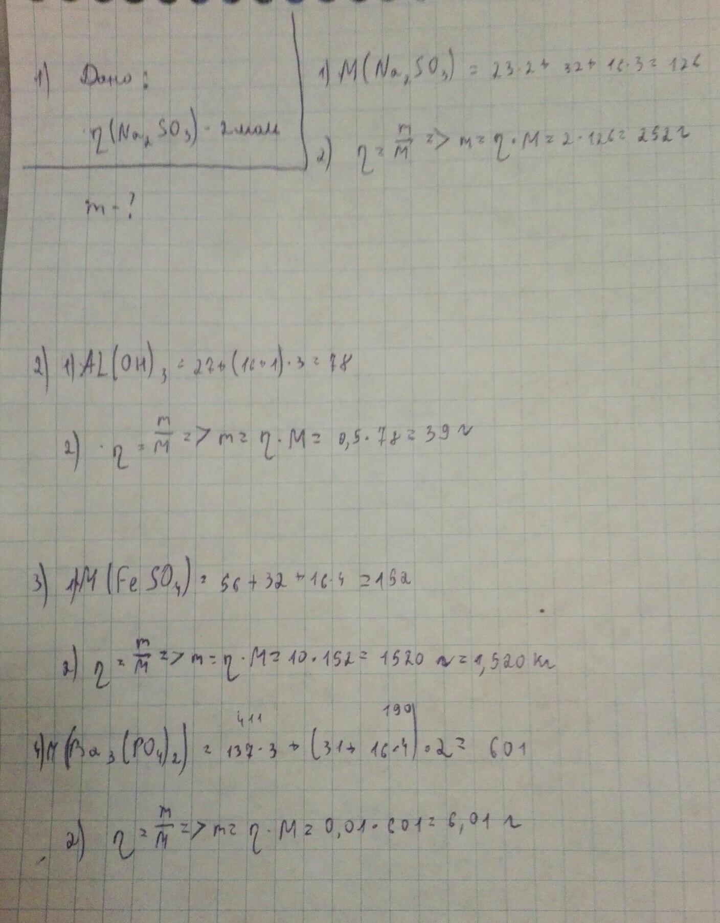
а) Дано:
n(Na2SO3)=2 моль
Найти:
m(Na2SO3)-?
Решение
n=m/M,отсюда m=M*n
M(Na2SO3)=2*23+32+3*16=126 г/моль
m(Na2SO3)= 2моль* 126 г/моль=252 г
Ответ: m(Na2SO3)= 252 г
б) Дано:
n(Al(OH)3)=0,5 моль
Найти:
m(Al(OH)3)-?
Решение
n=m/M,отсюда m=M*n
M(Al(OH)3)=27+3*16+3*1=78 г/моль
m(Al(OH)3)= 0,5 моль* 78 г/моль=39 г
Ответ : m(Al(OH)3)= 39 г
в) Дано:
n(FeSO4)=10 моль
Найти:
m(FeSO4)-?
Решение
n=m/M,отсюда m=M*n
М(FeSO4)=56+32+4*16=152 г/моль
m(FeSO4)= 10 моль* 152 г/моль=1520 г
Ответ: m(FeSO4)= 1520 г
г) Дано:
n(Ba3(PO4)2)=0,01 моль
Найти:
m(Ba3(PO4)2)-?
Решение
n=m/M,отсюда m=M*n
M(Ba3(PO4)2=3*137,3+2*31+8*16=411,9+62+128=601,9=602 г/моль
m(Ba3(PO4)3=0,01 моль* 602 г/моль=6,02 г
Ответ: m(Ba3(PO4)2)=6,02 г
n(Na2SO3)=2 моль
Найти:
m(Na2SO3)-?
Решение
n=m/M,отсюда m=M*n
M(Na2SO3)=2*23+32+3*16=126 г/моль
m(Na2SO3)= 2моль* 126 г/моль=252 г
Ответ: m(Na2SO3)= 252 г
б) Дано:
n(Al(OH)3)=0,5 моль
Найти:
m(Al(OH)3)-?
Решение
n=m/M,отсюда m=M*n
M(Al(OH)3)=27+3*16+3*1=78 г/моль
m(Al(OH)3)= 0,5 моль* 78 г/моль=39 г
Ответ : m(Al(OH)3)= 39 г
в) Дано:
n(FeSO4)=10 моль
Найти:
m(FeSO4)-?
Решение
n=m/M,отсюда m=M*n
М(FeSO4)=56+32+4*16=152 г/моль
m(FeSO4)= 10 моль* 152 г/моль=1520 г
Ответ: m(FeSO4)= 1520 г
г) Дано:
n(Ba3(PO4)2)=0,01 моль
Найти:
m(Ba3(PO4)2)-?
Решение
n=m/M,отсюда m=M*n
M(Ba3(PO4)2=3*137,3+2*31+8*16=411,9+62+128=601,9=602 г/моль
m(Ba3(PO4)3=0,01 моль* 602 г/моль=6,02 г
Ответ: m(Ba3(PO4)2)=6,02 г
Похожие вопросы
Предмет: Русский язык,
автор: Аноним
Предмет: Русский язык,
автор: Саня2006
Предмет: Русский язык,
автор: жемчужинка16
Предмет: Математика,
автор: dimapostolaki
Предмет: Физика,
автор: kovalevaa15