Предмет: Математика,
автор: KamaliYA56
Найдите разность:
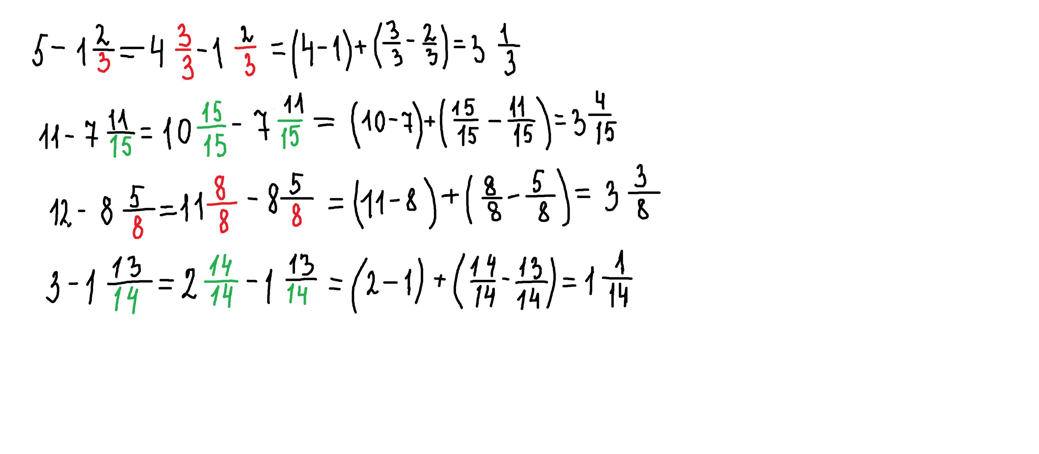
а) 5-1 2/3;
б) 11-7 11/15;
в) 12-8 5/8;
г) 3-1 13/14
Ответы
Автор ответа:
2
Ответ:
вот ща напишу ааа 5- 12/3=4 3/3 - 12/3=1/3 11-7 11/15= 10 15/15-7 11/15= 3 4/15 12-8 5 /8=11/8/8-8 5/8=3 3/8 3-1 13/14 = 2/14/14-1 13/14 = 11/14
Автор ответа:
3
Ответ:
Пошаговое объяснение:
решение внизу
Приложения:
Похожие вопросы
Предмет: Русский язык,
автор: KissLiz123
Предмет: Другие предметы,
автор: Аноним
Предмет: Окружающий мир,
автор: элянора4
Предмет: Українська мова,
автор: nastyq43
Предмет: Русский язык,
автор: yasminatukusheva