Предмет: Математика,
автор: dobriygovnodav
помогите решить задачу номер 1 и 2
Приложения:
Ответы
Автор ответа:
0
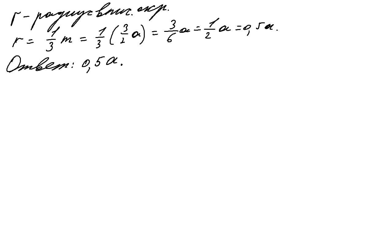
Ответ:
Пошаговое объяснение:
Приложения:
Похожие вопросы
Предмет: Английский язык,
автор: ксю568
Предмет: Русский язык,
автор: Раяна091
Предмет: Немецкий язык,
автор: vertuk222
Предмет: Физика,
автор: Aisha0616
Предмет: Русский язык,
автор: ртуть123